GTP biology: the powerhouse of signal transduction
Guanosine triphosphate (GTP) is a purine nucleotide triphosphate and is central to what is commonly referred to as GTP biology, encompassing signaling, growth, and intracellular communication. As a nucleotide, it is involved in a variety of critical biochemical reactions, particularly in the areas of energy transfer, signal transduction, and initiation of protein synthesis. In cellular metabolism, Guanosine triphosphate is often considered a counterpart to ATP (Adenosine Triphosphate), the primary energy carrier in cells. However, while ATP is primarily associated with energy transfer, GTP is specifically important for regulating certain cellular processes, including signal transduction pathways and the synthesis of proteins. It serves as a key energy source in signaling events, especially in the activation of G-proteins, which regulate a wide range of cellular activities, from growth to immune response. GTP’s versatility and involvement in energy transfer and signaling make it an indispensable molecule in the functioning of cells.
What is GTP Biology?
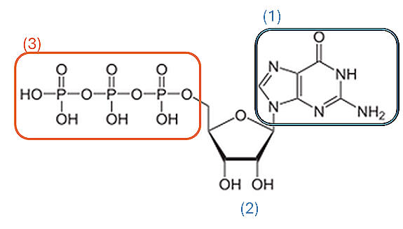
Chemical structure of guanosine triphosphate
Guanosine triphosphate is a nucleotide composed of three key components: guanine (1), ribose (2), and three phosphate groups (3).

Figure 1. Chemical structure of GTP
- Guanine: A purine base, which is one of the two types of nitrogenous bases (purines and pyrimidines) that make up nucleic acids like DNA and RNA. Guanine is indispensable in the structure of both GTP and its counterpart, guanosine monophosphate (GMP).
- Ribose: A five-carbon sugar molecule, ribose forms the backbone of the molecule, connecting the guanine base and the phosphate groups.
- Three Phosphate Groups: Attached to the ribose molecule, the three phosphate groups are critical for GTP Biology role in energy transfer. The hydrolysis of these phosphate bonds, particularly the breaking of the γ-phosphate, releases energy that powers many cellular processes.
Comparison with ATP
While GTP and ATP share similarities in their chemical structure and function, there are key differences in their biological duty, especially in the context of GTP biology.
Similarities: Both molecules are nucleotides that consist of a nitrogenous purine base, a ribose sugar, and three phosphate groups. In terms of energy transfer, both molecules function as energy carriers within cells. Their energy is released through the hydrolysis of the bond to the terminal phosphate group.
Differences: The primary difference between GTP and ATP lies in the nitrogenous base: guanosine triphosphate contains guanine, whereas ATP contains adenine. This difference in base composition gives each molecule a distinct function in cellular processes. While ATP is predominantly used for energy in general cellular functions, Guanosine triphosphate plays a crucial part in protein synthesis, signal transduction, and other regulatory functions in cells. Additionally, the energy carrier is often involved in specific processes like protein elongation during translation, while ATP is more broadly involved in energy transfer and metabolism.
In summary, while both GTP and ATP are significant for cellular functions, their distinct part in energy transfer and their involvement in specific biochemical pathways set them apart in GTP biology and other biological systems.
GTP biology: the duty in cellular process
Energy transfer: Guanosine triphosphate is significant in energy transfer within cells, much like its counterpart, adenosine triphosphate. While ATP is primarily known for powering general cellular processes, GTP is specifically involved in certain cellular functions that require energy. For example, GTP biology highlights its crucial job in the activation of G-proteins, which in turn regulate numerous cellular activities. These activities include processes such as cell division, protein synthesis, and metabolic regulation. In addition to its function in energy transfer, its involvement in cellular reactions helps to maintain energy balance and support the efficient functioning of specific biochemical pathways.
Signaling pathways:
Guanosine triphosphate also plays a signalling role, especially in the activation of G-protein coupled receptors. These receptors are transmitting signals from outside the cell to the inside, enabling the cell to respond to various external stimuli, such as hormones, neurotransmitters, and other signaling molecules. GTP binds to G-proteins, which act as molecular switches, activating or inhibiting downstream signaling events. Once the GTP is hydrolyzed to GDP (guanosine diphosphate), the G-protein becomes inactive. This process is tightly regulated, ensuring that signaling events occur at the right time and in the right context. Through this mechanism, The GTP molecule is pivotal in controlling a variety of cellular processes, including growth, differentiation, and immune responses. GTP biology thus underscores its importance in regulating and controlling these essential cellular activities.
Protein synthesis:
GTP plays several critical roles in protein synthesis, particularly during the translation process in ribosomes.
- Initiation: GTPs bind to initiation factors (e.g. eIF2 in eukaryotes and IF2 in prokaryotes) in order to assemble ribosome and initiator tRNA at the mRNA start codon.
- Elongation: GTP ensures that elongation factors (e.g. EF-Tu in prokaryotes and EF1A in eukaryotes) deliver aminoacyl-tRNAs to the A-site of the ribosome and support EF-G/EF2 in translocating the ribosome along the mRNA. It enables correct codon-anticodon pairing prior to peptide bond formation.
- Termination: Release factors (e.g. RF3 in prokaryotes) use GTP to recognise stop codons and release the completed polypeptide.
GTP in molecular biology & research
In molecular biology, GTP hydrolysis is a fundamental mechanism that drives various critical cellular processes. The hydrolysis of GTP to GDP releases energy that powers molecular processes such as microtubule dynamics, responsible for intracellular transport along microtubules. Additionally, GTP hydrolysis is involved in the functioning of G-proteins. These proteins regulate signal transduction pathways by switching between active and inactive states. The hydrolysis of this molecule in G-proteins acts as a switch, enabling them to control a wide array of cellular activities, including cell growth, differentiation, and immune response. Thus, hydrolysis in GTP biology is a critical energy source for molecular motors and regulatory proteins, driving cellular functions.
Guanosine triphosphate in genetic research & biotechnology
Due to the peculiarities of GTP biology, guanosine triphosphate analogues can be widely used in genetic research and manipulation to modify and study nucleic acids. These analogs mimic GTP, allowing researchers to introduce specific modifications in DNA or RNA. In laboratory techniques such as PCR (Polymerase Chain Reaction), GTP analogs are incorporated into reaction mixtures to drive the synthesis of modified nucleic acids. By using labeled GTP, scientists can track gene expression, study mutations, and explore the dynamics of molecular interactions, all of which are key components of its applications in genetic research.
The applications of GTP Biology in pharmaceuticals & drug development
Pharmaceutical companies have increasingly focused on targeting cellular signalling mechanisms related to GTP biology pathways when developing drugs. These processes regulate a wide range of cellular activities. By modulating small G-proteins and pathways that rely on nucleotide hydrolysis, researchers can develop drugs that influence key mechanisms in cell growth, differentiation, and apoptosis. These functions are crucial for treating various conditions, including cardiovascular diseases, neurological disorders, and immune system imbalances. Drug development strategies often aim to either stimulate or inhibit specific nucleotide-binding proteins, enabling more precise control over cellular responses and providing therapeutic solutions for diseases driven by dysfunctional signaling.
In cancer research, GTP biology and G-proteins have been identified as critical players in the development and progression of tumors. Guanosine triphosphate binding proteins regulate various pathways involved in cell proliferation, survival, and migration, all of which are fundamental to cancer development. Aberrant activation of these pathways, often driven by mutations in GTPases, can lead to uncontrolled cell division and metastasis. As a result, GTP biology has become a key area of focus in the development of targeted cancer therapies. By designing drugs that specifically inhibit or modulate pathways related to these proteins, researchers aim to halt tumor growth and prevent cancer spread, providing new avenues for more effective and less toxic treatments.
Why choose baseclick´s GTP products?
baseclick is committed to providing high-quality GTP products specifically designed to meet the rigorous demands of scientific research. Each batch undergoes strict quality control to ensure its consistency, purity, and reliability. Whether you are conducting research in molecular biology, genetics, or pharmaceuticals, baseclick’s GTP biology products offer the accuracy and performance needed for successful experiments. The company’s dedication to high-quality standards ensures that researchers can rely on their products to yield reproducible and precise results.
baseclick offers:
- Guanosine 5’-triphosphate (GTP);
- 3′-Azido-2′,3′-ddGTP – Triphosphate for modifying the 3’end of RNA or ssDNA;
- 3′-(O-Propargyl)-GTP – Triphosphate for cap modifying the 5’end of RNA.
